• Home
  • PRODUCT
  • ABOUT US
  • NEWS
  • SUPPLIER
  • COSMETICS
  • The official mall

    020-31051023

    Login | Register
    **** Exit

    Plascize L-440W

    Gives amazing smoothness to silicone-free shampoos both washing and in rinsing.

    Plascize L-440W(圖1)

    ESSENTIAL INFORMATION

    産品信息

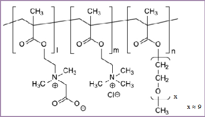
    INCI Name

    POLYQUATERNIUM-49, WATER, PHENOXYETHANOL

    Appearance

    Light yellowish transparent or translucent solution

    Product efficacy

    Conditioner

    Smoothing

    Product

    Application

    MORE INFORMATION

    更多訊息

    Login Register

    We have read and accepted《User agreement》

    忘記密碼

    Contact Us
  • Tel

    02031051023

  • Email

    sale@candiabiotech.com

  • Wechat
  • MESSAGE